2025年2025年三相变压器的变比究竟是相电压之比还是线电压之比呢?
                     2025-03-11
                     百战团队
                     
                 
			     
由于变压器感应电势与变压器绕组的匝数成正比,因此,
可见,变压器的变比本质是原副边绕组的匝数之比。由于变压器空载时,其原副边相电压近似等于相电势,因此,变压器变比写成,
从定义来看,变压器的变比为相电压之比。然后,我们再来看一下,电力系统分析中用到变压器变比的情况。在电力系统分析中,在对涉及两个及以上电压等级的网络参数进行计算时,我们需要把不同电压等级的变压器参数以及网络参数折算到变压器同侧,这时,需要用到变压器的变比。
如图所示,如果我们希望将下图所有参数折算到10kV侧时,需要将110kV侧的所有参数(阻抗、导纳、电压、电流)均乘以折算系数。
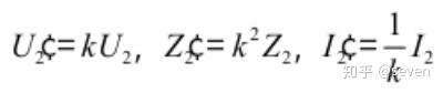
这里的
电压电流分别为为线电压、线电流,阻抗为相阻抗。最后,我们来做一个总结。变比作为变压器的参数,主要关注变压器内部的接线形式和实际绕组匝数比,因此,三相变压器的变比是变压器的相电压之比。在电力系统实际计算时,重点更多放在变压器与外电路之间的关系上,因此,用到的变压器变比并非变压器的实际变比,而是一种折算变比。简言之,变压器的变比强调变压器内部参数,采用相电压之比;而用于电力系统参数折算的变压器变比,则主要强调变压器与外电路的关系,采用线电压之比。 
					 如果认准备考,可联系网站客服获取国网考试资料!助你录取率提升90%!
学员评价
								
								
								
								
								
								
					 
推荐阅读:
- 上一篇:2025年2025年山东能源集团校园招聘公告
 - 下一篇:没有了